Skip to content
Typst 中文社区导航
Search
⌘
Ctrl
K
主题
菜单
回到顶部
目录
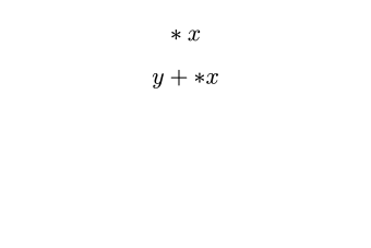
如何取消某些运算符后面的空格?例如 *x 之间的空格
code
math
如何取消某些运算符后面的空格?例如 *x 之间的空格
数学模式对于不同符号有不同的排版规则,可以使用
class
更改符号类型。
typst
$ *x $
$ y + class("unary", *) x $
NickName
E-Mail
Website
Preview:
Comments
Latest
Oldest
Hottest